南京大万科教仪器有限公司


差 热 分 析 实 验-大万科教差热分析仪

 二维码
发表时间:2018-06-05 14:08

实 验 八   差 热 分 析


一.目的要求


1、掌握差热分析的基本原理、测量技术以及影响测量准确性的因素

2、学会差热分析仪的操作,并测定KNO3和Sn的差热曲线

3、掌握差热曲线的定量和定性处理方法,对实验结果作出解释


二.基本原理


  1、差热分析原理

许多物质在加热或冷却过程中会发生熔化、凝固、晶型转变、分解、化合、吸附、脱附等物理化学变化。这些变化总伴随着体系焓的变化,因而有吸热和放热的现象发生。在体系的温度-时间关系曲线(步冷曲线)上会发生拐点,因这些热效应相当小,其拐点很不明显。但物质与外界环境之间会出现温度差,若选择一种对热稳定的物质作参比物(称作基准物如a-Al2O3),将有相变化的物质和基准物在相同条件下进行加热和冷却,一旦样品发生相变,则在样品和基准物之间就会产生温度差,差热分析(简称DTA)就是通过温差测量来确定物质的物理化学性质的一种热分析方法。

2、差热曲线

如果样品与基准物的热容大致相同,在加热过程中两者温度基本相同(△T=0),在△T- T图中将会得到一条平滑的曲线,该曲线称为基线。若样品产生吸热(如固体熔化),则样品温度较基准物低,在△T-T图中


将会得到一个向下的峰;若样品产生放热(如液体凝固),则样品温度较基准物高,在△T-图中将会得到一个向上的峰。热效应越大,峰的面积越大。如图Ⅱ-8-1所示的是理想状况下的差热曲线。图中ab、de、gh分别对应于试样与参比物没有温度差时的情况,称为基线,而bcd和efg分别为差热峰。差热曲线中峰的数目、位置、方向、高度、宽度和面积等均具有一定的意义。比如,峰的数目表示在测温范围内试样发生变化的次数;峰的位置对应于试样发生变化的温度;峰的方向则指示变化是吸热还是放热;峰的面积表示热效应的大小等等。因此,根据差热曲线的情况就可以对试样进行具体分析,得出有关信息。

理论上讲,可通过峰面积的测量对物质进行定量分析,但因影响差热分析的因素较多,定量难以准确。在峰面积的测量中,峰前后基线在一条直线上时,可以按照三角形的方法求算面积。但是更多的时候,基线并不一定和时间轴平行,峰前后的基线也不一定在同一直线上(如图Ⅱ-8-2上所示)。此时可以按照作切线的方法确定峰的起点、终点和峰面积。另外,还可以采取剪下峰称重,以重量代替面积量 微信图片_20180606113336.png微信图片_20180606113339.png

图Ⅱ-8-1理想的差热分析曲线                图Ⅱ-8-2 测定面积的方法

   3、影响差热分析的因素

差热分析是一种动态分析技术,影响差热分析结果的因素较多。主要有:

(1)升温速率

升温速率对差热曲线有重大影响,常常影响峰的形状、分辨率和峰所对应的温度值。比如当升温速率较低时基线漂移较小,分辨率较高,可分辨距离很近的峰,但测定时间相对较长;而升温速率高时,基线漂移严重,分辨率较低,但测试时间较短。

(2)试样

样品的颗粒一般大约在200目左右,用量则与热效应和峰间距有关。样品粒度的大小,用量的多少都对分析有着很大的影响,甚至连装样的均匀性也会影响到实验的结果。

(3)稀释剂的影响

稀释剂是指在试样中加入一种与试样不发生任何反应的惰性物质,常常是参比物质。稀释剂的加入使样品与参比物的热容相近,能有助于改善基线的稳定性,提高检出灵敏度,但同时也会降低峰的面积。

(4)气氛与压力

许多测定受加热炉中气氛及压力的影响较大,如CaC2O4·H2O在氮气和空气气氛下分解时曲线是不同的。在氮气气氛下CaC2O4·H2O第二步热解时会分解出CO气体,产生吸热峰,而在空气气氛下热解时放出的CO会被氧化,同时放出热量呈现放热峰。

除了以上因素外,走纸速率、差热量程等均对差热曲线有一定的影响。因此在运用差热分析方法研究体系时,必须认真查阅文献,审阅体系,找出合适的实验条件方可进行测试。

4、差热分析仪

差热分析仪的结构如图Ⅱ-8-3所示。它包括带有控温装置的加热炉、放置样品和参比物的坩埚、用以盛放坩埚并使其温度均匀的保持器、测温热电偶、差热信号放大器和记录仪(后两者亦可用测温检流计代替)。  

                微信图片_20180606113536.png

           图Ⅱ-8-3 差热分析原理图

差热图的绘制是通过两支型号相同的热电偶S和R,分别插入样品和参比物中,并将其相同端连接在一起。S、R两端引入测温装置,记录炉温信号。若炉子等速升温,则红线(程序升温曲线)记录下一条倾斜直线,如图Ⅱ-8-1所示;蓝线(差热分析曲线)表示样品和参比物的温差。如果参比物和被测样品的热容大致相同,而样品又无相变和化学反应热效应,两者的温度基本相同,此时两支热电偶产生的热电势大小相等,方向相反,蓝线呈一条平滑直线,如图Ⅱ-8-1中ab、de、gh段所示。反之,样品发生物理化学变化时,蓝线发生上下偏移(视热效应正、负而异),记录下差热峰如图Ⅱ-8-1中bcd、efg所示。两条线记录的时间-温度(温差)图就称为差热图。


三.仪器和试剂


差热分析仪                           1套           

镊子                                          2把         

洗耳球                                        1只  

KNO3(分析纯)            Sn(200目左右)(分析纯)

α─Al2O3(分析纯)


四.实验步骤


1、准备工作

(1)取两只空坩埚,从炉顶放在样品杆上部的两只托盘上。

(2)通水和通气:接通冷却水,开启水源使水流畅通。根据需要在通气口通入一定流量的保护气体。

(3)送电:将“升温方式”的选择开关拨在升温位置,开启总电源、温度程序控制电源和差热放大器电源开关,预热20min。

(4)调“偏差指示”:打开电源后,如温度程序控制单元上的“偏差指示”表头指针已指在满标处,则利用“手动”旋钮(此时必须先推进速度选择开关,将其指在两档速度之间位置,否则“手动”旋钮不能转动)使偏差指示在零位附近。“手动”旋钮的转动方向为:当出现正偏差时,转动“手动”旋钮使机械记数器读数增大,反之则减小。

(5)零位调整:将差热放大器单元的量程选择开关置于“短路”位置,转动“调零”旋钮,使“差热指示”表头指在“0”位。

(6)斜率调整:将差热放大单元量程选择开关置于±100μV档;程序方式选择“升温”,升温速度为10℃·min-1或20℃·min-1。开启计算机运行程序,转动差热放大器单元上的“移位”开关,这时所画的红线应为一条直线,称为“基线”。按下温度程序控制单元上的“工作”按钮(如发现“调零指示”表头指针远离“零位”,则应按5的方法另调)。按下电炉电源开关,电炉升温。如发现基线漂移,则可用“斜率调整”旋钮来进行校正。若基线向左倾斜,可顺时针转动旋钮;若基线向右倾斜,可逆时针转动旋钮。基线调好后,一般不再调整。

2、差热测量

(1)准备工作同前,应使仪器预热20min。

(2) 将样品放入已知重量的坩埚中称重,在另一只坩埚中放入重量基本相等的参比物,如α-Al2O3。然后将盛样品的坩埚放在样品托的左侧托盘上,盛参比物的坩埚放在右侧的托盘上(约5mg),盖好瓷盖和保温盖。

(3) 微伏放大器量程开关置于适当位置,如±100μV。

(4) 保持冷却水流量约200mL·min-1-300mL·min-1。

(5) 编制升温程序。

[1] 按∧键不放,等出现stop松手。

[2] 按﹤键进入Co1,设置起始温度值。

[3] 按 微信图片_20180606114030.png键进入Co1,设置第一段升温时间,可以通过﹤移位键,∨、∧增减键改变数值。

[4] 按 微信图片_20180606114030.png键进入Co2,设置第二段温度,依次类推,终态温度应比物体熔点高50℃以上。

[5]结束编程:Co1一定要设置成-120。返回[2]验证程序编排。

(6)在一定的气氛下,接通电源,按下“工作”旋钮,开始升温。

(7)开启计算机记录程序,记录升温曲线和差热曲线,直至升至发生要求的相变后延续一短时间,然后停止记录。

(8)打开炉盖,取出坩埚,待炉温降至50℃以下时,换上另一样品,按上述步骤操作。

(9)实验结束,注意关掉冷却水和气体。


五.注意事项


1、试样与参比物粒度应大致相同,两者装入在坩埚中的紧密程度应基本一致。

2、试样坩埚与参比物坩埚放入加热炉中的位置应正确,不能调换。

3、加热炉通电前应先通入冷却水。

4、差热分析仪的“偏差指示”为负时,才能打开加热炉电源。在加热过程中加热炉的电压指示过大,应立即切断加热炉电源。

5、控制升温速度,以免出现测量误差。


六.数据记录和处理


1、由计算机处理数据。

2、定性说明所得差热图谱的意义。

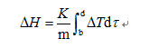
3、也可按下式计算样品的相变热ΔH。

微信图片_20180606114129.png

式中,m为样品质量;b、d分别为峰的起始、终止时刻(图Ⅱ-8-1所示);ΔT为时间τ内样品与参比物的温差;微信图片_20180606114236.png代表峰面积;K为仪器常数,可用数学方法推导,但较麻烦,本实验用已知热效应的物质进行标定。已知纯锡的熔化热为59.36×10-3J·mg-1,可由锡的差热峰面积求得K值。

4、参考数据

锡的熔点:231.928 °C,锡的熔化热:59.36 J/g。KNO3相变点为128 ~ 129 °C,转化热55.2 ~ 57.48 J/g;熔点为336 ~338 °C,熔化热为105.75 ~115.79 J/g。数据摘自《热分析及其应用》,科学出版社 1985。


七.思考题


1、差热分析与简单热分析有何不同?

2、如何辩明反应是吸热反应还是放热反应?为什么在升温过程中即使样品无变化也会出现温差?

3、为什么要控制升温速度?升温过快有何后果?

4、影响差热分析的主要因素有哪些?


八.讨论


1、从理论上讲,差热曲线峰面积(S)的大小与试样所产生的热效应(ΔH)大小呈正比,即ΔH=KS,K为比例常数。将未知试样与已知热效应物质的差热峰面积相比,就可求出未知试样的热效应。实际上,由于样品和和参比物之间往往存在着比热、导热系数、粒度、装填紧密程度等方面不同,在测定过程中又由于熔化,分解转晶等物理、化学性质的改变,未知物试样和参比物的比例常数K并不相同,所以用它来进行定量计算误差较大。但差热分析可用于鉴别物质,与X射线衍射,质谱、色谱、热重法等方法配合可确定物质的组成、结构及动力学等方面的研究。

2、在自装差热仪上,信号记录部分可用微机接收。加热炉部分在保持器中添加一根热电偶,接上专用K型热偶温度放大器将微弱的电信号放大,由采集数据程序接收,在微机屏幕上显示出差热图。

3、在微机屏幕上,时间为横坐标,温度和温差为纵坐标,差热图上出现三条不同颜色的线:其中两条线与双笔记录仪的两条线相同;第三条线是样品温度线(在一般双笔记录仪上见不到这—条线),它显示了样品在实验过程中的实际温度,样品发生脱水反应时温度比参比物温度略低,其差值可从右边纵坐标上读出;有热效应时的温差也可以从右边纵坐标上读出(左边纵坐标上显示的为温度)。


九.参考文献


1、复旦大学,蔡显鄂等修订,物理化学实验(第二版),高等教育出版社,1996年。

2、北京大学化学学院物理化学实验教学组,物理化学实验(第四版),北京大学出版社,2002年。

3、武汉大学化学与分子科学学院实验中心,物理化学实验,武汉大学出版社,2004年。



南京大万科教仪器有限公司  | 电话:13915928988
备案号:苏ICP备2024068160号-1 | 公司网站:http://www.njdw.com.cn
详细地址:南京市栖霞区仙林街道梦天地商厦北塔楼1912室